Copper Wire Whose Diameter . 31 rows the wire size chart below shows allowable ampacities of insulated conductors rated up to and including 2000 volts, 60°c through 90°c (140°f. Awg copper wire table size and data chart @ 100 degrees f. 85 rows engineering materials. this wire resistance calculator can quickly compute the electrical properties of a. a copper wire has diameter 0.5mm and resistivity of 1.6×10−8ωm. What will be the length of this wire to make its resistance. transverse pulses travel with a speed of 200 m/ s along a taut copper wire whose diameter is 1.50 mm. this article delves into the specifics of copper wire diameter measurements, comparing different standards such as swg and awg.
from www.wirejewelry.com
85 rows engineering materials. Awg copper wire table size and data chart @ 100 degrees f. 31 rows the wire size chart below shows allowable ampacities of insulated conductors rated up to and including 2000 volts, 60°c through 90°c (140°f. this wire resistance calculator can quickly compute the electrical properties of a. What will be the length of this wire to make its resistance. transverse pulses travel with a speed of 200 m/ s along a taut copper wire whose diameter is 1.50 mm. a copper wire has diameter 0.5mm and resistivity of 1.6×10−8ωm. this article delves into the specifics of copper wire diameter measurements, comparing different standards such as swg and awg.
20 Gauge Round Dead Soft Copper Wire Wire Jewelry Wire Wrap Tutorials Jewelry Making Wire
Copper Wire Whose Diameter What will be the length of this wire to make its resistance. 31 rows the wire size chart below shows allowable ampacities of insulated conductors rated up to and including 2000 volts, 60°c through 90°c (140°f. this article delves into the specifics of copper wire diameter measurements, comparing different standards such as swg and awg. What will be the length of this wire to make its resistance. a copper wire has diameter 0.5mm and resistivity of 1.6×10−8ωm. transverse pulses travel with a speed of 200 m/ s along a taut copper wire whose diameter is 1.50 mm. Awg copper wire table size and data chart @ 100 degrees f. 85 rows engineering materials. this wire resistance calculator can quickly compute the electrical properties of a.
From byjus.com
A copper wire of diameter 6 mm is evenly wrapped on a cylinder oflength 18 cm and diameter 49 cm Copper Wire Whose Diameter this article delves into the specifics of copper wire diameter measurements, comparing different standards such as swg and awg. What will be the length of this wire to make its resistance. 31 rows the wire size chart below shows allowable ampacities of insulated conductors rated up to and including 2000 volts, 60°c through 90°c (140°f. this wire. Copper Wire Whose Diameter.
From www.numerade.com
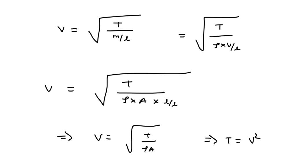
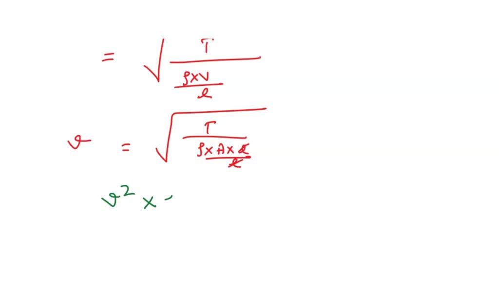
SOLVED Transverse pulses travel with a speed of 200 m/s along a taut copper wire whose diameter Copper Wire Whose Diameter 85 rows engineering materials. this article delves into the specifics of copper wire diameter measurements, comparing different standards such as swg and awg. 31 rows the wire size chart below shows allowable ampacities of insulated conductors rated up to and including 2000 volts, 60°c through 90°c (140°f. this wire resistance calculator can quickly compute the electrical. Copper Wire Whose Diameter.
From www.numerade.com
SOLVED Transverse pulses travel with a speed of 220 m/s along a taut copper wire whose diameter Copper Wire Whose Diameter transverse pulses travel with a speed of 200 m/ s along a taut copper wire whose diameter is 1.50 mm. Awg copper wire table size and data chart @ 100 degrees f. this wire resistance calculator can quickly compute the electrical properties of a. a copper wire has diameter 0.5mm and resistivity of 1.6×10−8ωm. What will be. Copper Wire Whose Diameter.
From www.toppr.com
A copper wire, 3 mm in diameter, is wound about a cylinder whose length is 12 cm. and diameter Copper Wire Whose Diameter 31 rows the wire size chart below shows allowable ampacities of insulated conductors rated up to and including 2000 volts, 60°c through 90°c (140°f. this article delves into the specifics of copper wire diameter measurements, comparing different standards such as swg and awg. this wire resistance calculator can quickly compute the electrical properties of a. a. Copper Wire Whose Diameter.
From www.indiamart.com
1.2 mm Round Copper Wire, For Industrial, Rs 380 /kilogram Chamunda Steel Industries ID Copper Wire Whose Diameter this article delves into the specifics of copper wire diameter measurements, comparing different standards such as swg and awg. 31 rows the wire size chart below shows allowable ampacities of insulated conductors rated up to and including 2000 volts, 60°c through 90°c (140°f. a copper wire has diameter 0.5mm and resistivity of 1.6×10−8ωm. What will be the. Copper Wire Whose Diameter.
From www.coursehero.com
[Solved] Calculate the length of the copper wire having a diameter of 1/16... Course Hero Copper Wire Whose Diameter transverse pulses travel with a speed of 200 m/ s along a taut copper wire whose diameter is 1.50 mm. a copper wire has diameter 0.5mm and resistivity of 1.6×10−8ωm. 31 rows the wire size chart below shows allowable ampacities of insulated conductors rated up to and including 2000 volts, 60°c through 90°c (140°f. What will be. Copper Wire Whose Diameter.
From punchlistzero.com
Copper Wire Conductive Properties, Size Chart, & Alternatives Copper Wire Whose Diameter 85 rows engineering materials. transverse pulses travel with a speed of 200 m/ s along a taut copper wire whose diameter is 1.50 mm. this article delves into the specifics of copper wire diameter measurements, comparing different standards such as swg and awg. What will be the length of this wire to make its resistance. Awg copper. Copper Wire Whose Diameter.
From www.banggood.com
1M Pure Copper Wire Round Solid Uncoated Diameter 0.5mm 08mm 1mm 1.6mm 2.5mm Sale Copper Wire Whose Diameter a copper wire has diameter 0.5mm and resistivity of 1.6×10−8ωm. Awg copper wire table size and data chart @ 100 degrees f. 85 rows engineering materials. this wire resistance calculator can quickly compute the electrical properties of a. this article delves into the specifics of copper wire diameter measurements, comparing different standards such as swg and. Copper Wire Whose Diameter.
From www.numerade.com
SOLVED Transverse pulses travel with a speed of 200 m/s along a taut copper wire whose diameter Copper Wire Whose Diameter this wire resistance calculator can quickly compute the electrical properties of a. 31 rows the wire size chart below shows allowable ampacities of insulated conductors rated up to and including 2000 volts, 60°c through 90°c (140°f. 85 rows engineering materials. a copper wire has diameter 0.5mm and resistivity of 1.6×10−8ωm. What will be the length of. Copper Wire Whose Diameter.
From en.asriportal.com
A copper wire, 3 mm in diameter, is wound about a cylinder whose length is 12 cm, and diameter Copper Wire Whose Diameter 85 rows engineering materials. a copper wire has diameter 0.5mm and resistivity of 1.6×10−8ωm. Awg copper wire table size and data chart @ 100 degrees f. What will be the length of this wire to make its resistance. this wire resistance calculator can quickly compute the electrical properties of a. this article delves into the specifics. Copper Wire Whose Diameter.
From www.numerade.com
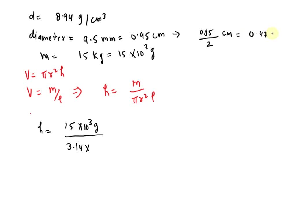
SOLVEDA copper refinery produces a copper ingot weighing 150 lb. If the copper is drawn into Copper Wire Whose Diameter What will be the length of this wire to make its resistance. this wire resistance calculator can quickly compute the electrical properties of a. Awg copper wire table size and data chart @ 100 degrees f. 85 rows engineering materials. 31 rows the wire size chart below shows allowable ampacities of insulated conductors rated up to and. Copper Wire Whose Diameter.
From www.sarthaks.com
A copper wire has diameter 0.5 mm and resistivity of 1.6 x 10^8 Ωm. What will be the length of Copper Wire Whose Diameter a copper wire has diameter 0.5mm and resistivity of 1.6×10−8ωm. this wire resistance calculator can quickly compute the electrical properties of a. Awg copper wire table size and data chart @ 100 degrees f. this article delves into the specifics of copper wire diameter measurements, comparing different standards such as swg and awg. 85 rows engineering. Copper Wire Whose Diameter.
From www.iqsdirectory.com
Copper Metal Types, Uses, Features and Benefits Copper Wire Whose Diameter this article delves into the specifics of copper wire diameter measurements, comparing different standards such as swg and awg. What will be the length of this wire to make its resistance. a copper wire has diameter 0.5mm and resistivity of 1.6×10−8ωm. transverse pulses travel with a speed of 200 m/ s along a taut copper wire whose. Copper Wire Whose Diameter.
From www.numerade.com
SOLVED If the copper is drawn into wire whose diameter is 8.00 mmhow many feet of copper can be Copper Wire Whose Diameter Awg copper wire table size and data chart @ 100 degrees f. What will be the length of this wire to make its resistance. this article delves into the specifics of copper wire diameter measurements, comparing different standards such as swg and awg. 31 rows the wire size chart below shows allowable ampacities of insulated conductors rated up. Copper Wire Whose Diameter.
From www.numerade.com
SOLVEDA copper refinery produces a copper ingot weighing 150 lb. If the copper is drawn into Copper Wire Whose Diameter a copper wire has diameter 0.5mm and resistivity of 1.6×10−8ωm. this wire resistance calculator can quickly compute the electrical properties of a. this article delves into the specifics of copper wire diameter measurements, comparing different standards such as swg and awg. transverse pulses travel with a speed of 200 m/ s along a taut copper wire. Copper Wire Whose Diameter.
From www.indiamart.com
3.8mm Enameled Copper Wire at Rs 750/kg Enameled Copper Wire in Pune ID 24734289412 Copper Wire Whose Diameter transverse pulses travel with a speed of 200 m/ s along a taut copper wire whose diameter is 1.50 mm. Awg copper wire table size and data chart @ 100 degrees f. What will be the length of this wire to make its resistance. 85 rows engineering materials. this article delves into the specifics of copper wire. Copper Wire Whose Diameter.
From www.numerade.com
SOLVED If the copper is drawn into wire whose diameter is 9.50 , how many feet of copper can be Copper Wire Whose Diameter this article delves into the specifics of copper wire diameter measurements, comparing different standards such as swg and awg. 31 rows the wire size chart below shows allowable ampacities of insulated conductors rated up to and including 2000 volts, 60°c through 90°c (140°f. What will be the length of this wire to make its resistance. this wire. Copper Wire Whose Diameter.
From www.youtube.com
A copper wire, 3 mm in diameter, is wound about a cylinder whose length is 12 cm, and diameter Copper Wire Whose Diameter transverse pulses travel with a speed of 200 m/ s along a taut copper wire whose diameter is 1.50 mm. Awg copper wire table size and data chart @ 100 degrees f. 31 rows the wire size chart below shows allowable ampacities of insulated conductors rated up to and including 2000 volts, 60°c through 90°c (140°f. this. Copper Wire Whose Diameter.